隱含波動率是什麼?投資人必懂的概念與市場意義

「隱含波動率」並非單純的數學統計數字,而是市場參與者對未來價格波動的「集體預測」,並透過市場的自身交易而產生。那我們要用什麼角度來看它呢?
本文將介紹隱含波動率的概念,並從比較與歷史波動率的差別,說明如何判斷IV的高低、能用哪些工具查詢和計算、及IV的應用場景等。
隱含波動率是什麼?基本概念與意義
隱含波動率是由選擇權當下的價格而反推出來的波動率,代表市場對未來標的資產價格波動性的預期。
如果投資人普遍認為未來市場會劇烈波動,那麼選擇權價格自然會上升,進而推高隱含波動率。
相反的,如果市場普遍冷靜,認為大幅波動的可能性低,那麼選擇權的價格會下降,隱含波動率也會相對偏低。
隱含波動率怎麼看?與歷史波動率的差別
要理解隱含波動率前,先解釋什麼是「歷史波動率(Historical Volatility, HV)」。它會依據歷史價格(如每日收盤價)進行計算,可用來衡量金融資產(如股票、指數)過去一段時間內價格的波動程度。
以下是隱含波動率及歷史波動率的差異表格:
| 指標 | 定義 | 資料來源 | 用途 |
| 隱含波動率 (IV) | 由選擇權價格倒算出來,反映市場對未來波動的預期 | 市場的即時期權價格 | 衡量當下市場情緒 |
| 歷史波動率 (HV) | 標的資產過去一段時間實際價格波動的統計數據 | 過去的價格走勢 | 回顧過去 |
資料來源:MBA智庫
隱含波動率多少算高?多少算合理?
隱含波動率到底多少算高、多少算合理,其實並沒有硬性標準,判斷方式常帶主觀色彩,投資人應根據自身經驗與市場特性來分析。
以下歸納常見的IV主觀辨別方法:
- 與自身歷史相比
- 如果一檔選擇權過去一年的波動率平均在 20%,但目前突然飆升到 50%,就可視為相對偏高。
- 與同類資產相比
- 科技股通常波動率較高,20%~60%可能屬於合理區間。
- 大型指數(如標普500)波動率偏低,常見在 15%~25%。
- 市場情緒背景
- 地緣政治風險、財報公布、重大政策變動等,都會推升短期IV。
- 平穩時期IV則通常回落到歷史均值附近。
隱含波動率查詢方式與常用工具
投資人可透過各大證券商所提供的網站查詢隱含波動率 (如凱基權證網、永豐金權證網等)。或是透過第三方財經網站進行查詢(美股),如:TradingView
補充說明:
VIX指數即為芝加哥選擇權交易所市場波動指數,通常被稱為「恐慌指數」,用來衡量市場對未來30天美國股市波動性的預期。
VIX指數是基於標準普爾500指數的選擇權價格計算的。它將該指數上所有可交易的認售選擇權(PUT OPTION,賣權)和認購選擇權(CALL OPTION,買權)價格進行加權結合,進而估算未來的波動率。
當VIX指數上升時,通常代表市場預期的風險增加,市場情緒較為恐慌;而當VIX指數下降時,則意味著市場風險較低,情緒較為平穩。
故VIX指數不僅是衡量市場風險的工具,還能幫助投資者在做出投資決策前,了解當前市場的情緒和壓力。
資料來源:維基百科
隱含波動率計算公式與計算器應用
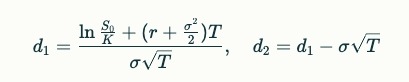
隱含波動率的計算是利用期權定價模型,如 歐式選擇權理論 Black-Scholes 模型,根據期權在市場上的當前價格,反推標的資產未來價格波動率。
這個過程並非直接將波動率帶入公式計算出價格,而是將期權的市場價格當作已知,反向利用模型解出適合該價格的波動率(σ),這個σ即為隱含波動率。
通常需要透過數值迭代或根據牛頓法等算法,反覆調整波動率,直到模型計算出的理論期權價格與市場價格匹配為止。
Black-Scholes 模型計算公式,如下:

其中

變數說明:
- C:看漲期權理論價格
- S0:標的資產當前價格
- K:期權履約價
- r:無風險利率
- T:距離到期時間(以年為單位)
- σ:波動率(隱含波動率即為此數值)
- N(⋅):標準正態分布的累計分布函數
資料來源:維基百科
舉例:
假設某檔股票目前價格(S0)為新台幣 100 元,距離選擇權到期日(T)還剩 30 天(約 0.08 年),履約價格(K)為 100 元,無風險利率(r)約 0.1%。市場上該股票看漲期權的權利金價格(C)為新台幣 3 元。
透過 Black-Scholes 模型反推,找到使理論期權價格接近市價3元的隱含波動率約為 30%。這表示市場預期該股票未來一年的年化波動率為30%。
當然投資人不用自己動手算,臺灣期貨交易所有提供歐式選擇權理論價格計算機,投資人只要將相關資訊填入,即可進行試算。
隱含波動率高低對市場的影響
以下是隱含波動率高低對市場的影響:
- 對期權交易策略的影響
- 高IV:選擇權價格貴,做買方策略的成本偏高,做賣方策略時收的權利金較高。
- 低IV:選擇權價格便宜,做買方策略的成本偏低,做賣方策略時收的權利金較低。
- 對市場情緒的影響
- 高IV:通常與市場不確定性升高、恐慌情緒增溫有關,例如金融危機或突發事件。
- 低IV:顯示市場情緒偏向平穩。
總結
隱含波動率(IV)是市場透過期權價格所反映的未來波動預期,與回顧過去的歷史波動率(HV)不同,它更能即時展現投資人情緒與市場氛圍。
IV的高低沒有絕對標準,而是需結合歷史數據、同類資產特性與市場背景來判斷。整體而言,IV不僅影響期權價格與交易策略,更是衡量市場風險與不確定性的重要指標。
關於呢喃貓商學院
呢喃貓商學院成立於 2022 年,核心成員由幾位具有法人投資經歷的幣圈交易員組成,社群重視基礎研究、學習氛圍以風險控制,做出更好的投資決策。
- 連續 3 年獲動區評選台灣區塊鏈《年度最具影響力人物榜》(2023 年、2024 年、2025 年)
- 2025 年數位時代評選《2025 區塊鏈 30 大人物》
- 加密貨幣類排名第一 Podcast《加密貨幣千萬交易員的呢喃》
加入呢喃貓社群




免責聲明:本文不構成任何投資意見或建議,亦無招攬開戶要約,資訊僅供讀者參考,加密貨幣投資為高風險產品,投資人應自行閱讀相關風險及自身風險承受度決定是否投資。



